Given the heads of two singly linked-lists headA and headB, return the node at which the two lists intersect. If the two linked lists have no intersection at all, return null.
Given the heads of two singly linked-lists headA and headB, return the node at which the two lists intersect. If the two linked lists have no intersection at all, return null.
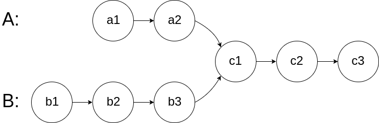
For example, the following two linked lists begin to intersect at node c1:

The test cases are generated such that there are no cycles anywhere in the entire linked structure.
Note that the linked lists must retain their original structure after the function returns.
Custom Judge:
The inputs to the judge are given as follows (your program is not given these inputs):
intersectVal - The value of the node where the intersection occurs. This is 0 if there is no intersected node. listA - The first linked list. listB - The second linked list. skipA - The number of nodes to skip ahead in listA (starting from the head) to get to the intersected node. skipB - The number of nodes to skip ahead in listB (starting from the head) to get to the intersected node. The judge will then create the linked structure based on these inputs and pass the two heads, headA and headB to your program. If you correctly return the intersected node, then your solution will be accepted. Input: intersectVal = 8, listA = [4,1,8,4,5], listB = [5,6,1,8,4,5], skipA = 2, skipB = 3 Output: Intersected at '8' Explanation: The intersected node's value is 8 (note that this must not be 0 if the two lists intersect). From the head of A, it reads as [4,1,8,4,5]. From the head of B, it reads as [5,6,1,8,4,5]. There are 2 nodes before the intersected node in A; There are 3 nodes before the intersected node in B.
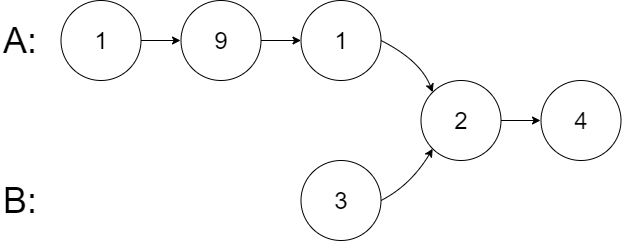
Input: intersectVal = 2, listA = [1,9,1,2,4], listB = [3,2,4], skipA = 3, skipB = 1
Output: Intersected at '2'
Explanation: The intersected node's value is 2 (note that this must not be 0 if the two lists intersect).
From the head of A, it reads as [1,9,1,2,4]. From the head of B, it reads as [3,2,4]. There are 3 nodes before the intersected node in A; There are 1 node before the intersected node in B.
Example 3:
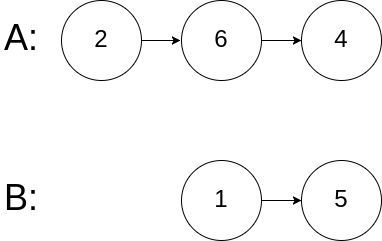
Input: intersectVal = 0, listA = [2,6,4], listB = [1,5], skipA = 3, skipB = 2
Output: No intersection
Explanation: From the head of A, it reads as [2,6,4]. From the head of B, it reads as [1,5]. Since the two lists do not intersect, intersectVal must be 0, while skipA and skipB can be arbitrary values.
Explanation: The two lists do not intersect, so return null.Constraints:
The number of nodes of listA is in the m. The number of nodes of listB is in the n. 1 <= m, n <= 3 * 104 1 <= Node.val <= 105 0 <= skipA <= m 0 <= skipB <= n intersectVal is 0 if listA and listB do not intersect. intersectVal == listA[skipA] == listB[skipB] if listA and listB intersect.
class Solution {
public:
ListNode *getIntersectionNode(ListNode *headA, ListNode *headB) {
unordered_set<ListNode *> visited;
ListNode *temp = headA;
while (temp != nullptr) {
visited.insert(temp);
temp = temp->next;
}
temp = headB;
while (temp != nullptr) {
if (visited.count(temp)) {
return temp;
}
temp = temp->next;
}
return nullptr;
}
};
public class Solution {
public ListNode getIntersectionNode(ListNode headA, ListNode headB) {
Set<ListNode> visited = new HashSet<ListNode>();
ListNode temp = headA;
while (temp != null) {
visited.add(temp);
temp = temp.next;
}
temp = headB;
while (temp != null) {
if (visited.contains(temp)) {
return temp;
}
temp = temp.next;
}
return null;
}
}# Definition for singly-linked list.
# class ListNode:
# def __init__(self, x):
# self.val = x
# self.next = None
class Solution:
def getIntersectionNode(self, headA: 'ListNode', headB: 'ListNode') -> 'ListNode | None':
a, b = headA, headB
while a is not b:
a = a.next if a else headB
b = b.next if b else headA
return avar getIntersectionNode = function(headA, headB) {
const visited = new Set();
let temp = headA;
while (temp !== null) {
visited.add(temp);
temp = temp.next;
}
temp = headB;
while (temp !== null) {
if (visited.has(temp)) {
return temp;
}
temp = temp.next;
}
return null;
};interface ListNode {
val: number
next: ListNode | null
}
function getIntersectionNode(headA: ListNode | null, headB: ListNode | null): ListNode | null {
let a: ListNode | null = headA, b: ListNode | null = headB
while (a !== b) {
a = a ? a.next : headB
b = b ? b.next : headA
}
return a
}public class ListNode {
public int val;
public ListNode next;
public ListNode(int x) { val = x; }
}
public class Solution {
public ListNode GetIntersectionNode(ListNode headA, ListNode headB) {
ListNode a = headA, b = headB;
while (a != b) {
a = (a != null) ? a.next : headB;
b = (b != null) ? b.next : headA;
}
return a;
}
}struct ListNode {
int val;
struct ListNode *next;
};
struct ListNode* getIntersectionNode(struct ListNode *headA, struct ListNode *headB) {
struct ListNode *a = headA, *b = headB;
while (a != b) {
a = a ? a->next : headB;
b = b ? b->next : headA;
}
return a;
}func getIntersectionNode(headA, headB *ListNode) *ListNode {
vis := map[*ListNode]bool{}
for tmp := headA; tmp != nil; tmp = tmp.Next {
vis[tmp] = true
}
for tmp := headB; tmp != nil; tmp = tmp.Next {
if vis[tmp] {
return tmp
}
}
return nil
}class ListNode(var `val`: Int) { var next: ListNode? = null }
fun getIntersectionNode(headA: ListNode?, headB: ListNode?): ListNode? {
var a = headA
var b = headB
while (a !== b) {
a = if (a != null) a.next else headB
b = if (b != null) b.next else headA
}
return a
}public class ListNode {
public var val: Int
public var next: ListNode?
public init(_ val: Int) { self.val = val; self.next = nil }
}
func getIntersectionNode(_ headA: ListNode?, _ headB: ListNode?) -> ListNode? {
var a = headA, b = headB
while a !== b {
a = (a != nil) ? a!.next : headB
b = (b != nil) ? b!.next : headA
}
return a
}class ListNode
attr_accessor :val, :next
def initialize(val = 0, nxt = nil)
@val = val
@next = nxt
end
end
def get_intersection_node(headA, headB)
a = headA
b = headB
while a != b
a = a ? a.next : headB
b = b ? b.next : headA
end
a
end<?php
class ListNode {
public $val;
public $next;
function __construct($val = 0, $next = null) { $this->val = $val; $this->next = $next; }
}
function getIntersectionNode($headA, $headB) {
$a = $headA; $b = $headB;
while ($a !== $b) {
$a = $a ? $a->next : $headB;
$b = $b ? $b->next : $headA;
}
return $a;
}class ListNode(var x: Int = 0, var next: ListNode = null)
object Solution {
def getIntersectionNode(headA: ListNode, headB: ListNode): ListNode = {
var a: ListNode = headA
var b: ListNode = headB
while (a ne b) {
a = if (a != null) a.next else headB
b = if (b != null) b.next else headA
}
a
}
}More related problems will appear here.